光纤熔接机 元器件百科 光纤熔接机简介本光纤熔接机采用纤芯对准方式英寸彩色LCD,同时观察X轴和Y轴方向光纤光纤放大倍数大,纤芯清晰可见秒熔接时间,30秒加热时间自动检测光纤端面自动选择最佳熔接程序自动推算接续损耗简单直观的操作界面,一目了然的菜单设计深凹式防风盖,在15m/s的强风下能进行接续工作光纤熔接机分类普通光纤熔接机一般是指单芯光纤熔接机,除此之外,还有专门用来熔接带状光纤的带状光纤熔接机,熔接皮线光缆和跳线的 芯城品牌采购网 2025-10-29 5630 光纤熔接机
光耦合器 元器件百科 光耦合器简介光电耦合元件可以在二个不共地的电路之间传递信号,二电路之间即使有高压也不会影响。商用的光电耦合元件其输入对输出的耐压可以到10kV,而电压变化率可以快到10kV/μs。光电耦合元件可分为模拟与数字两种,都是由光发射器和光侦测器组成。光发射器和光侦测器通常会整合到同一个封装,但它们之间除了光束之外不会有任何电气或实体连接。常见的光电耦合元件是将发光二极管(LED)及光晶体管(LED)放在 芯城品牌采购网 2025-10-29 12026 光耦
力敏元件 元器件百科 力敏元件分类力敏元件的品种规格繁多,可以按不同的方法进行分类,如按被测量进行分类:力传感器(包括:荷重传感器、拉力传感器、扭矩传感器)、压力传感器(表压传感器、绝压传感器、密封压力传感器)、差压传感器、液位传感器。有的力敏元件,如应变片,虽然也作为商品单独出售,但实际使用时往往将其组装成传感器或变送器出售(输出为规定的标准信号的传感器称为变送器)。多数情况下,力敏传感器中采用两级或两级以上的变换, 芯城品牌采购网 2025-10-29 10145 力敏
功率半导体元件 元器件百科 功率半导体元件研究与开发包包装意义:将设备连接到外部电路。散发元件产生的热量。保护设备免受外部环境的影响。功率器件的许多可靠方法与温度有关。研究重点是::散热性能抵抗封闭的热循环包装材料的**高工作温度低压MOSFET同样受到树脂的耐热性的限制。对于一般电源220向所述多个半导体封装的,TO-247,TO-262,TO-3,d2被打包,和类似物。结构改进IGBT设计仍在开发中,并且电压正在增加。在 芯城品牌采购网 2025-10-29 12389 半导体
压电元件 元器件百科 压电元件原理它基于具有夹在两个电极之间的压电体的元件而具有各种结构。根据应用,将隔膜等附接到电极。通常,振动幅度在特定频率下xxx。压电元件单晶(Unimorph)常用于压电扬声器。薄压电元件和金属板结合在一起。当压电元件在平面内膨胀和收缩时,由于结合的金属板的尺寸保持相同而发生翘曲。使用由施加到压电元件的电压产生的振动和位移。双晶两个压电元件粘合在一起的结构。这用于获得较大的位移。当对两个压电元 芯城品牌采购网 2025-10-29 11860 压电元件
中继接口单元 元器件百科 中继接口单元模拟中继电路用于与模拟交换局间的接口。有两种:一种是和实线中继线相接,叫实线中继;另一种和载波电路相连,叫载波中继。模拟中继电路的基本功能为:数/模转换,线路信号的发送和接收。中继接口单元数字中继电路对数字交换局的接口,它的基本功能为:码型变换,同步和时钟提取,线路信号的发送和接收。中继接口单元应用随着数字交换和数字传输的发展,数字中继电路应用较为广泛。我国规定为提高传输效率,数字局和 芯城品牌采购网 2025-10-29 6967 中继接口
单多模转换器 元器件百科 单多模转换器主要参数光纤接口:SC光纤种类:50/125、62.5/125、100/140um多模(850nm及1310nm)8.3/125、8.7/125、9/125、10/125um单模(1310nm及1550nm)传输速率:10/100Mbps、155Mbps、622Mbps、1000Mbps、1.25Gbps、2.5Gbps传输距离:多模光纤:最大传输距离2km单模光纤:最大传输距离120 芯城品牌采购网 2025-10-29 5429 转换器
单头加热棒 元器件百科 单头加热棒简介单头加热棒称单端出线电热棒.此型加热棒体积小、效能高、瓦特密度高.其架构采用一端出线的方式,可穿入金属小孔或空隙中其性能优越加热能力极强.高温单头式电热管在制作上需极为精细.使得其广泛运用于不能进行两端接线的加热介质中工作。单头加热棒又称单端出线电热棒.此型加热棒体积小、效能高、瓦特密度高.其架构采用一端出线的方式,可穿入金属小孔或空隙中其性能优越加热能力极强.高温单头式电热管在制作 芯城品牌采购网 2025-10-29 11261 单头加热棒
光波长转换器 元器件百科 光波长转换器简介目前波长变换器按照原理主要可以分为三类:(1)光-电-光型波长变换器;(2)相干型波长变换器;(3)基于光逻辑门的波长变换器。最简单的当然是专注式的转换节点设计,也就是在复用前,给每个通道都各配置一个波长转换器,显然这样作是元件利用率最低的。一些波长转换器的共享方案,也被陆续提出,常见的有节点共享式(SPN)和链路共享式(SPL)两种。对前一种共享方案,通常需要较大的光开关以便在单 芯城品牌采购网 2025-10-29 9266 光波转换器
光纤适配器 元器件百科 光纤适配器概述光纤适配器两端可插入不同接口类型的光纤连接器,实现FC、SC、ST、LC、MTRJ、MPO、E2000等不同接口间的转换,广泛应用于光纤配线架(ODF)、光纤通信设备、仪器等,性能超群,稳定可靠。市面上有的将光纤适配器也叫光纤连接器,实际上这是两种不同的产品。光纤适配器特性光纤之间是由适配器通过其内部的开口套管连接起来的,以保证光纤跳线之间的最高连接性能。为了固定在各种面板上,还设计 芯城品牌采购网 2025-10-29 12161 光纤适配器
光纤配线架 元器件百科 光纤配线架简介ODF(OpticalDistributionFrame)光纤配线架光纤配线架(ODF)用于光纤通信系统中局端主干光缆的成端和分配,可方便地实现光纤线路的连接、分配和调度。随着网络集成程度越来越高,出现了集ODF、DDF、电源分配单元于一体的光数混合配线架,适用于光纤到小区、光纤到大楼、远端模块及无线基站的中小型配线系统。光纤配线架作用光纤配线架是光传输系统中一个重要的配套设备,它主 芯城品牌采购网 2025-10-29 7483 光纤配线架
光纤尾纤 元器件百科 光纤尾纤简介光缆敷设完成后,必须通过光纤连接才能形成一条完整的光纤传输链路。一条光纤链路有多处连接点,包括光纤直接接续点、连接器端接和连接器互连等连接点,所以光纤连接也相应地有连接和端接两种形式。光纤端接是把光纤连接器与一根光纤接续然后磨光的过程。光纤端接时要求连接器接续和对光纤连接器的端头磨光,以减少连接损耗。光纤端接主要用于制作光纤跳线和光纤尾纤。光纤尾线是指用于连接光纤和光纤耦合器的一个类似 芯城品牌采购网 2025-10-29 9350 光纤
介损测试仪 元器件百科 介损测试仪简介介损测试仪的技术发展很快,以前在电力系统广泛使用的QS1西林电桥正被智能型的介损测试仪取代,新一代的介损测试仪均内置升压设备和标准电容,并且具有操作简单、数据准确、试验结果读取方便等特征。虽然目前介损测试技术发展很快,但与国际水平相比,在很多方面仍有很大差距,差距主要表现在以下几个方面:(1)抗干扰能力由于介质损耗测试是一个灵敏度很高的项目,因此测试数据也极易受到外界电场的干扰,目前 芯城品牌采购网 2025-10-29 7876 介损测试仪
单片机编程器 元器件百科 单片机编程器核心部件单片机编程器的核心部件是单片机。单片机是指一个集成在一块芯片上的完整计算机系统,它拥有CPU、内存、内部和外部总线系统,目前大部分还会具有外存。同时集成诸如通讯接口、定时器,实时时钟等外围设备。而现在最强大的单片机系统甚至可以将声音、图像、网络、复杂的输入输出系统集成在一块芯片上。而单机片编程器利用的就是单机片这一重要原理部件。单片机编程器特点1.使用串口通讯,芯片自动判别,编 芯城品牌采购网 2025-10-29 5765 单片机编程器
单定向耦合器 元器件百科 单定向耦合器基本简介定向耦合器是微波系统中应用广泛的一种微波器件,它的本质是将微波信号按一定的比例进行功率分配。定向耦合器由传输线构成,同轴线、矩形波导、圆波导、带状线和微带线都可构成定向耦合器,所以从结构来看定向耦合器种类繁多,差异很大。但从它的耦合机理来看主要分为四种,即小孔耦合、平行耦合、分支耦合以及匹配双T。定向耦合器是把两根传输线放置在足够近的位置使得一条线上的功率可以耦合到另一条线上的 芯城品牌采购网 2025-10-29 10175 定向耦合器
单片机开发板 元器件百科 单片机开发板用途单片机开发板是用于学习51、STC、AVR型号的单片机实验设备。根据单片机使用的型号又有51单片机开发板、STC单片机开发板、AVR单片机开发板。常见配套有硬件、实验程序源码、电路原理图、电路PCB图等学习资料。例如电子人单片机开发板,针对部分学者需要特别配套有VB上位机软件开发,游戏开发等教程学习资料。开发此类单片机开发板的公司一般提供完善的售后服务与技术支持。单片机开发板发展背 芯城品牌采购网 2025-10-29 5407 单片机开发板
单座调节阀 元器件百科 单座调节阀特点配用PSL智能型直行程电动执行器,体积小、规格全、重量轻、推力大、操作方便,无调整电位器,可靠性高、噪声小。PSL电动执行器采用―体化结构设计,具有自诊断功能,使用和调校十分方便。有数字显示窗口,可看到控制信号值、阀位值。PSL智能型电动执行机构功能:带断控制信号故障判断、报警及保护功能。即断信号时可使执行机构或开;或关;或保持;或在0~100%之间予置的任意位置。及带阀门堵转故障判 芯城品牌采购网 2025-10-29 2918 单座调节阀
冗余电源 元器件百科 冗余电源作用RPS电源(RedundantPowerSystem,冗余电源系统)用作部分交换机的外置直流供电电源RPS可以用作交换机或路由器的冗余备份电源:1.如果RPS和受电设备采用相同的交流供电系统,当受电设备内部电源出现异常时,RPS可以继续为故障设备进行直流供电,保障设备的持续正常运行;2.如果RPS和受电设备采用不同的交流供电系统,还可以在受电设备的外部交流供电电源出现故障时继续提供直流 芯城品牌采购网 2025-10-29 7336 电源
单相变频电源 元器件百科 单相变频电源简介专用于交流异步电机SPWM控制的集成电路。它除了根据设定参数产生合乎要求的SPWM脉冲外,还集成了多种保护功能,并可在紧急情况下,如短路和过载时快速关断SPWM脉冲,保护逆变器和电机。其最大特点是可以独立运行,无须微处理器控制。它的输出频率以及加速减速频率都可由外接电位器在线连续调节。所有须定义的参数如载波频率、死区时间、最小脉宽、调制波形、V/f曲线等均存储在外接的廉价EEPRO 芯城品牌采购网 2025-10-29 12596 单相变频电源
交流稳压电源 元器件百科 交流稳压电源概念能为负载提供稳定交流电源的电子装置。又称交流稳压器。有关交流稳压电源的参数及质量指标可参见直流稳压电源。各种电子设备要求有比较稳定的交流电源供电,特别是当计算机技术应用到各个领域后,采用由交流电网直接供电而不采取任何措施的方式已不能满足需要。交流稳压电源分类①铁磁谐振式交流稳压器:利用饱和扼流圈与相应的电容器组合后具有恒压伏安特性而制成的交流稳压装置。磁饱和式是这种稳压器的早期典型 芯城品牌采购网 2025-10-29 10456 交流稳压电源
交流电源 元器件百科 交流电源简介家用交流电源插头与插座指用来接上用来将市电提供的交流电,使家用电器与可携式小型设备通电可使用的装置。电源插头有棒状或铜板状突出的公接头,以物理方式插入有插槽或凹洞的母接头型的电源插座。插头上一般都有火线(孔洞较短)、中性线接头(孔洞较长),部分还有接地接头(中央圆孔)。有多种插头并未特别区分火线与中性线,而也有些接头会有多个火线。这些接头可能镀上了铜、锡、镍电源插座是有插槽或凹洞的母接 芯城品牌采购网 2025-10-29 8807 交流电源
位置|变送器 元器件百科 位置变送器工作原理输出端有一个产生吸收电流的电路,对电流零点的调整提供了便利条件,可用于4~20mA及0~10mA两种制式。变送器有一个外露的顶杆,受压时产生位移,变送器内有一个位移放大装置,使极板的移动放大若干倍,可对10mm以内的小行程进行高精度测量,顶杆的尾部有机械调零装置,其调整范围为有效行程的数倍,它克服了多电极电容式变送器在零点迁移过大时影响测量精度的问题。位置变送器特征分析其为多电极 芯城品牌采购网 2025-10-29 5869
单相电流变送器 元器件百科 单相电流变送器概述该电量变送器是一种将电网中的电流、电压、频率、功率、功率因数等电参量,经隔离变送成线性的直流模拟信号或是数字信号装置。产品符合GB/T13850-1998IEC-688标准。单相电流变送器功能扩展1、可编程显示功能,根据倍率和量程可以显示一次侧实测数据,如一次侧电流/电压/功率等,具有倍率可调,量程可调,精度高,可直接当高精度电测仪表使用;2、RS485接口,采用MODBUS-R 芯城品牌采购网 2025-10-29 13417 单相电流变送器
发电机阻抗测试仪 元器件百科 发电机阻抗测试仪技术参数1、交流阻抗:0-99.999Ω0.2级2、交流电压:0-600V0.2级3、交流电流:0-120A0.2级4、有功功率:0-72KW0.5级5、频率:45-75HZ0.2级6、工作电源:220V±10%50Hz8、重量:5kg发电机阻抗测试仪注意事项1.仪器使用前,应认真阅读产品使用说明书,掌握正确的使用方法。2.试验时正确接线。在检查接线正确无误、联接可靠后方可通电。3 芯城品牌采购网 2025-10-29 13011 发电机阻抗测试仪
单孔磁珠 元器件百科 单孔磁珠简介单孔磁珠为磁珠的一类,其专用于抑制信号线、电源线上的高频噪声和尖峰干扰,还具有吸收静电脉冲的能力。磁珠是用来吸收超高频信号,象一些RF电路,PLL,振荡电路,含超高频存储器电路(DDRSDRAM,RAMBUS等)都需要在电源输入部分加磁珠,而电感是一种蓄能元件,用在LC振荡电路,中低频的滤波电路等,其应用频率范围很少超过50MHZ。磁珠有很高的电阻率和磁导率,等效于电阻和电感串联,但电 芯城品牌采购网 2025-10-29 7899 单孔磁珠
单相异步电机 元器件百科 单相异步电机分类通常根据电动机的起动和运行方式的特点,将单相异步电动机分为以下五种。1.单相电阻起动异步电动机。代号JZBOBO22.单相电容起动异步电动机。代号JYCOCO2新代号:YC3.单相电容运转异步电动机。代号JXDODO2新代号:YY4.单相电容起动和运转异步电动机。代号YL5.单相罩极式异步电动机。由于电动机的输出功率不大,一般单相异步电动机的转子都采用鼠笼型转子,它的定子都有一套工 芯城品牌采购网 2025-10-29 8326 单相异步电机
单相整流桥 元器件百科 单相整流桥作用整流桥是把交流电转变成直流电,是一款可以把交流转变成直流的整流元件,其电路有两种,分别是电相整流电路和三相整流电路,单相整流桥的作用也是一样的,把交流电变成直流电。单相整流桥原理单相全波桥式整流器电路的工作原理:电路中采用四个二极管,互相接成桥式结构。利用二极管的电流导向作用,在交流输入电压U2的正半周内,二极管D1、D3导通,D2、D4截止,在负载RL上得到上正下负的输出电压;在负 芯城品牌采购网 2025-10-29 9865 单相整流桥
免洗助焊剂 元器件百科 免洗助焊剂特点1.不同产品适合于发泡,喷雾,浸焊,刷擦等不同涂敷方式,没有废料的问题产生;2.低烟、刺鼻味小、不污染工作环境、不影响人体健康;3.过锡后PCB表面平整均匀、无残留物和能清除焊接母体表面上氧化物的能力;4.过锡后不会造成排插的绝缘;5.过锡面与零件面没有白粉产生,即使在高温、高湿下也不影响表面;6.上锡速度快、润湿性适中,即使很小的贯穿孔依然可以上锡;7.快干性佳、不粘手;8.通过严 芯城品牌采购网 2025-10-29 3735 焊剂
双屏蔽电缆 元器件百科 双屏蔽电缆简介双屏蔽即两层屏蔽层,先分屏蔽后总屏蔽,也有双总屏蔽电缆但是作用不大,一般采用先分屏蔽后总屏蔽的居多。计算机电缆,型号为DJYPVP,根据型号可看出是双屏蔽电缆,线芯绞对组铜丝编织屏蔽,总包带和总屏蔽包带之间屏蔽层有编织的和金属绕包的两种。屏蔽电缆有单层屏蔽和双层屏蔽之分。双层比单层的好,比双绞屏蔽电缆性能更优异的是铠装型双绞屏蔽电缆。所谓双屏蔽电缆是指有两层屏蔽层、且两层屏蔽层之间必 芯城品牌采购网 2025-10-29 7522 屏蔽电缆
光栅编码器 元器件百科 光栅编码器分类光栅编码器可分为两大类,一是旋转编码器,用于转角、转速的测量;二是直尺型编码器,用于直线位移、运动速度的测量。在旋转编码器中,又可分为绝对式编码器和增量式编码器。光栅编码器常用的介绍常用的光栅编码器有圆光栅和尺型直光栅二种。其输出信号一般都为增量式脉冲串,即给出A、B二路相位互差90°的方波脉冲串,另外还在光栅上的一个特定点处给出一个代表零位脉冲信号Z,见图1。除特殊类型之外,A、B 芯城品牌采购网 2025-10-29 4585 光栅编码器
光环行器 元器件百科 光环行器简介光环行器是一种多端口非互易光学器件,它的典型结构有N(N大于等于3)个端口,如图1所示,当光由端口1输入时,光几乎毫无损失地由端口2输出,其它端口处几乎没有光输出。图1光环行器示意图当光由端口2输入时,光几乎毫无损失地由端口3输出,其它端口处几乎没有光输出,以此类推。这N个端口形成了一个连续的通道。严格地讲,若端口N输入的光可以由端口1输出,称为环行器,若端口N输入的光不可以由端口1输 芯城品牌采购网 2025-10-29 9526 光环行器
光盘驱动器 元器件百科 光盘驱动器工作原理光驱是一个结合光学、机械及电子技术的产品。在光学和电子结合方面,激光光源来自于一个激光二极管,它可以产生波长约0.54-0.68微米的光束,经过处理后光束更集中且能精确控制,光束首先打在光盘上,再由光盘反射回来,经过光检测器捕获信号。光盘上有两种状态,即凹点和空白,它们的反射信号相反,很容易经过光检测器识别。检测器所得到的信息只是光盘上凹凸点的排列方式,驱动器中有专门的部件把它转 芯城品牌采购网 2025-10-29 7925 光盘驱动器
光纤分光器 元器件百科 光纤分光器概念是光纤链路中最重要的无源器件之一,具有多个输入端和多个输出端,一个分路器有M个输入端和N个输出端用M*N表示。而将多路光信号合为一路信号叫做合成器。按生产工艺有平面波导型光纤分光器(PLCSplitter)和熔融拉锥分光器(FBTSplitter)光纤分光器插入损耗每一路输出相对于输入光损失的dB数就是插入损耗,其数学表达式为:Ai=-10lgPouti/Pin,其中Ai是指第i个输 芯城品牌采购网 2025-10-29 6011 光纤分光器
光纤跳线 元器件百科 光纤跳线结构光纤跳线(又称光纤连接器)是指光缆两端都装上连接器插头,用来实现光路活动连接;一端装有插头则称为尾纤。光纤跳线(OpticalFiberPatchCord/Cable)和同轴电缆相似,只是没有网状屏蔽层。中心是光传播的玻璃芯。在多模光纤中,芯的直径是50μm~65μm,大致与人的头发的粗细相当。而单模光纤芯的直径为8μm~10μm。芯外面包围着一层折射率比芯低的玻璃封套,以使光纤保持在 芯城品牌采购网 2025-10-29 10560 光纤
光伏电缆 元器件百科 光伏电缆简介产品型号:光伏电缆导体截面:光伏电缆许多国家仍处于学习阶段。毫无疑问,为了获取最佳利润,业内企业,都需要向那些已在太阳能应用方面具有多年经验的国家和公司学习。建造经济高效的盈利性的光伏发电厂,代表了所有太阳能制造商最重要的目标和核心竞争力。事实上,盈利能力不仅仅取决于太阳能组件自身的效率或高性能,也离不开一系列表面看来与组件无直接关系的部件。但所有这些部件(如电缆、连接器、接线盒)应依 芯城品牌采购网 2025-10-29 3766 光伏电缆
光控晶闸管 元器件百科 光控晶闸管简介光控晶闸管又称光触发晶闸管,它是一种以光信号代替电信号来进行触发导通的特殊触发型晶闸管,其伏安特性曲线与普通晶闸管完全一样,只是触发方式不同。而由于它采用光信号触发,避免了主回路对控制回路的干扰,适用于要求信号源与主回路高度绝缘的大功率高压装置,如高压直流输电装置、高压核聚变装置等。光控晶闸管是利用一定波长的光照信号控制的开关器件,其结构也是由四层半导体(PNPN)构成。小功率光控晶 芯城品牌采购网 2025-10-29 6766 光控晶闸管
全息光存储 元器件百科 全息光存储简介全息光存储实际上还是一种光盘存储技术,采用复用技术,可大幅度地提高存储容量和系统性能。在各种未来高密度光存储技术中,全息光存储以其所具有的高存储容量、高存储密度、高信息存储冗余度和超快存取速度等优点一直为人们所重视。全息光存储发展前景与当前的硬盘、光盘存储以及下一代的高密度光存储技术相比,全息光存储的巨大竞争力体现在它所具有的超大存储容量、超高存储密度和越快的存取速度等方面。全息光存 芯城品牌采购网 2025-10-29 10185 存储
变频调速系统 元器件百科 变频调速系统变化变频调速后,电动机的各种损耗和效率均有所变化,根据电机学理论,电动机的损耗可分为铁芯损耗(包括磁滞损耗和涡流损耗)、轴承摩擦损耗、风阻损耗、定子绕组铜耗、转子绕组铜耗、杂散损耗等几种。说明磁滞损耗Pn与磁通的交变频率f成正比,与磁通密度的幅值Bm的α次方成正比,α对于一般硅钢片,当Bm=0.8~1.6W/m2时,α=2。由风机和泵类理论,其流量Q与所需电动机轴功率P与转速n的关系为 芯城品牌采购网 2025-10-29 11541 变频调速
光纤调制解调器 元器件百科 光纤调制解调器性能指标系统指标:误码率极低:优于0.000000001物理特性:标准外形:186cm长*110cm宽*37cm高电源:系统电源:AC220V,3W光接口参数:线路码型:不平衡码光源类型:850nm多模LED平均发射光功率:Po≥-14dBm光接口:ST电接口参数:CAN速率:500Kbps环境条件:工作温度:0~55℃储存温度:-55~+105℃相对湿度:≤90[%](25℃)无冷 芯城品牌采购网 2025-10-29 10890 光纤解调器
以太网光纤收发器 元器件百科 以太网光纤收发器基本特点1.提供超低延时的数据传输。2.对网络协议完全透明。3.采用专用ASIC芯片实现数据线速转发。可编程ASIC将多项功能集中到一个芯片上,具有设计简单、可靠性高、电源消耗少等优点,能使设备得到更高的性能和更低的成本。4.机架型设备可提供热拔插功能,便于维护和无间断升级。5.可网管设备能提供网络诊断、升级、状态报告、异常情况报告及控制等功能,能提供完整的操作日志和报警日志。6. 芯城品牌采购网 2025-10-29 4799 以太网光纤收发器
光纤法兰适配器 元器件百科 光纤法兰适配器简介光纤通信经过几十年的发展,这些连接器已经在全世界得到普及使用。连接器的插芯材质有陶瓷,金属,塑料等,每种连接器有不同颜色的外框与尾套供选择。通过固化研磨等工艺,光纤连接器被用来与各种类型的光缆制作成各种类型的跳线或尾纤,被广泛运用到通信机房、光纤到户、局域网络、光纤传感器、光纤通信系统、光纤连接传输设备、国防战备等。适用于有线电视网、电信网、计算机光纤网络及光测试设备。光纤法兰适 芯城品牌采购网 2025-10-29 7731 光纤法兰适配器
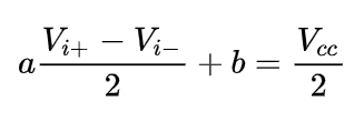
单电源供电 元器件百科 单电源供电简介双电源是由一个正电源和一个相等的负电源组成,一般是正负15伏,正负12伏,正负5伏,输入和输出电压都是参考地给出的,一般教课书中的涉及到的运放都采用的是这种双电源的供电方法,但是在一些实际生产设计中没有或者只能采用单电源的供电的方法时,就有必要采取相应的解决方法。单电源供电时,正电源接Vcc,电源地接公共地,并需要将正电压Vcc的一半电压Vcc/2作为虚地接到运放的同相输入端,一般也 芯城品牌采购网 2025-10-29 5556 电源